Architectures of Unjust Enrichment

This project is produced by the MA students 2025-2026 at the Centre for Research Architecture, Goldsmiths University.

Architectures of Unjust Enrichment

1

Tracking the Cape Spear  

On 27 May 2011, the vessel  Cape Spear – operated by Japan Tobacco International’s Middle East distributor, IBCS Trading and Distribution Co. – illicitly shipped more than 10 million euros’ worth of cigarettes to Syria Duty Free via Latakia Port2, bypassing international restrictions. Just four days earlier, the EU had imposed sanctions on individuals linked to the Assad regime3

Syria Duty Free – the destination for the smuggled cigarettes – was owned by Rami Makhlouf, a billionaire and cousin of Bashar al-Assad, accused of financing regime violence during the 2011 uprising.   

Also among the cargo were cigarettes supplied directly to the Syrian state-run General Organisation of Tobacco4. Some of these were delivered free of charge, though the total value was just under EUR 500,000

A Deeper Look at Syria’s Tobacco Trade

Latakia is renowned for producing high-quality tobacco and represents a primary source of income in these areas. This shipment therefore offers a lens on Syria’s socioeconomic landscape in relation to tobacco and raises key questions: 

Tobacco production has fluctuated in recent years due to a combination of factors including conflict, natural disasters and government policies. As sanctions are lifted5, the new government faces the challenge of regulating this key sector, crucial to both the economy and Syrian livelihoods. 

Tobacco and Its Role in Syria

Syria’s tobacco industry is deeply tied to the country’s economy and culture, influencing key areas such as: domestic consumption, employment, and market fluctuations.

Latakia: the heart of Syria’s tobacco 

Before the conflict, Syria had a robust tobacco industry, especially in Latakia. In 2018, the region accounted for 85% of national output6, making tobacco farming a major source of income in the area.

In the early 2000s, foreign companies began investing in Syria’s tobacco sector. In 2004, for example, Altadis opened a factory in Latakia, creating jobs and boosting exports7.  

By that point, Syria was producing over 30% of the Middle East and North Africa’s tobacco leaves8, becoming a major supplier in the region.  

9

However, the conflict impacted tobacco production. According to the Syria Report, output fell by nearly 60% by 201610, as major tobacco plants in Aleppo and Damascus were destroyed. Latakia’s plant remained operational but overall production declined – as shown in the graph.  

Rising costs 

The broader collapse of the Syrian Pound worsened the situation as inflation accelerated.  

11

As a result, cigarette prices doubled in 2012 and rose by over 130% in August 202112. Retailers, facing limited government regulation, were reportedly selling cigarettes at up to three times the official price13.   

For those in besieged zones, prices were even higher. One kilo of tobacco that sold for around SYP 2,000 in regular markets could cost between SYP 150,000 to 200,000 in those zones14.  

Militias were also known to distribute tobacco as a form of partial payment15, further entrenching the role of this material in Syria’s economy.   

Domestic demand  

Despite declining local production and rising prices, domestic demand for tobacco didn’t waver. From 2012 to 2020, Syria imported approximately USD 1.8 billion worth of cigarettes16.  

This sustained demand is reflected in Syria’s high smoking rates. In 2021, an estimated 58% of Syrians were regular smokers17

18

Recent Policy Decisions Concerning Tobacco

Government support for tobacco 

Recognising its importance, the regime’s government classified tobacco as a strategic crop. Such crops received state support through subsidies, low-interest loans and procurement schemes19.  This recognition emphasises tobacco’s economic and political weight.  

In January 2024, the purchase price for farmers’ tobacco crops was raised for the 2024-2025 season20 to support domestic production. This policy has remained in place under the current government. Previous seasonal increases included21

Despite these adjustments, farmers reported that prices remain below the actual costs of production22, especially given high inflation rates.  

Government subsidies therefore failed to cover these expenses. This is supported by the Syria Report, which states that the regime’s backing was limited even though most tobacco farmers belong to the politically loyal base23.   

24 25

Environmental impact 

Environmental shocks have further strained the sector. Wildfires in 2020 damaged several hectares of tobacco fields and destroyed 1,500 tonnes of stockpiled tobacco in Latakia26, further straining local supply and farmers’ incomes.  

Opportunities for shifts in production and trade 

The lifting of US sanctions27, particularly those targeting Latakia Port General Company, offers potential for renewed trade activity and could support domestic tobacco production. However, ongoing inflation28 could continue to challenge the sector’s ability to sustain stable output.  

Additionally, a significant portion of the Latakia tobacco production has moved to Cyprus29, highlighting challenges in rebuilding the domestic industry. While tobacco farming continues, this shift may reduce income for the local workforce and raises questions about the future use of land previously dedicated to these crops.  

The industry’s recovery will depend on how effectively the current government navigates internal challenges and external trade opportunities in the coming years.  

30

Insight into Assad regime’s corrupt practices  

General Organisation of Tobacco’s monopoly under Assad 

Under Bashar al-Assad, the state-run General Organisation of Tobacco (GOT) monopolised Syria’s tobacco sector, from cultivation and production to imports and retail sales31.  

As such, GOT became a highly profitable state-owned enterprise, closely tied to the Assad regime’s political and economic power.   

Despite the external pressures of sanctions and internal conflict, GOT maintained significant revenue in part due to rising cigarette prices.  

In August 2020, GOT partnered with the Syrian Trading Establishment32 to become the exclusive seller of locally produced cigarettes. This arrangement: 

GOT had establishments in Damascus, Aleppo and Latakia.   

33

The role of regime-affiliated figures 

This monopoly enriched figures linked to the regime, particularly Rami Makhlouf, Bashar al-Assad’s cousin. Both Rami and his father, Mohammed Makhlouf, previously held leadership positions in GOT34

35

One of Rami Makhlouf’s key assets was Syria Duty Free36, which operated in Syria’s free zones. The business generated legitimate foreign currency revenues and created channels for licit and illicit trade, benefitting from relaxed customs enforcements. 

Even after Rami Makhlouf’s duty-free contracts were formally terminated in June 2020, the assets were transferred to his brother, Ihab Makhlouf, and Kuwaiti businessman, Abdul Hameed Dashti37. This indicates the continued centrality of regime-linked individuals in managing lucrative sectors.   

Current free zone developments 

In the post-Assad period all operating free zones, including Latakia Port, are now managed by the state38; the General Authority for Land and Sea Borders oversees customs, border centres and investment activity39.  

Since the fall of the regime and the passing of Ihab Makhlouf, it is not yet clear who now holds the operating contracts for Syria’s duty-free markets.  

Since the fall of the regime and amid unverified reports regarding Ihab Makhlouf’s fate, it is not yet clear who now holds the operating contracts for Syria’s duty-free markets.40

4142434445464748495051

Case Study: Tobacco Smuggling Through Latakia Port

This case study examines the 2011 illicit shipment of over EUR 10 million in cigarettes through Latakia Port, despite EU sanctions targeting individuals within the Syrian regime. The operation was facilitated by IBCS Trading and Distribution Co., the Middle East distributor for Japan Tobacco International (JTI). The shipment circumvented sanctions imposed on regime figure Rami Makhlouf. 

The methodology uses a qualitative approach, analysing primary sources such as government reports, trade records and international sanction lists to understand the mechanisms at play and the broader implications for Syria’s tobacco trade. 

EU–JTI Cooperation Agreement

Key Finding41
JTI and EU agree to end sales to anyone involved in smuggling; OLAF & Member States to receive full cooperation and data. (p. 3)

Relevance & Cross-Links
Sets contractual anti-smuggling duty for JTI (Art. 5(9)(h), p. 15). Provides baseline to assess later violations. (see: EP Question E-009948/12)

Actors / Entities Involved
JTI, European Commission, OLAF

Council Regulation (EU) No 442/2011

Key Finding42434445
Established EU restrictive measures on Syria; Rami Makhlouf designated as a sanctioned person. (Annex II p.8)
Defines “funds” (Art. 1 (a)(vi), p.2)) and “economic resources” (Art. 1 (c), p.2)) and forbids making them available (Art. 4 §2, p.3).

Relevance & Cross-Links
Legal basis for sanctions breach: a bill of lading (see: 27/5/2011) is a document that proofs “funds”, addressed to Makhlouf’s Syria Duty Free shop, which is a “economic resource”.
Anchor for sanction context and later OLAF/EU investigation (see: EP Question E-009948/12)

Actors / Entities Involved
EU Council, Rami Makhlouf, Syria Duty Free Shops

Invoice JTI addressed to GOT + Bill of Lading shipped to Syria Duty Free (Cyprus → Latakia)

Key Finding46
Bill of Lading figure of 9 000 cases × 50 = 450 000 cartons aligns with OLAF figure (see: EP Question E-009948/12).
The invoice shows figure of 84 240 cases, containing 4.2 M cartons (9,36 times as much then OLAF figure)
Total shipment ≈ € 12.3 M, consigned to GOT and Syria Duty Free Shops.

Relevance & Cross-Links
Key physical evidence linking trade and sanctioned entities. Demonstrates potential sanctions violation (Art. 4 Reg 442/2011) and breach of JTI–EU cooperation duties.

Actors / Entities Involved
JTI, GOT, Syria Duty Free Shops, Rami Makhlouf

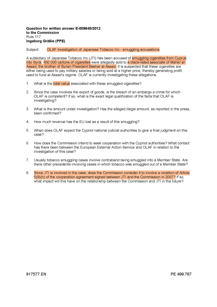
Parliamentary Question E-009948/12

Key Finding47
OLAF investigating JTI for possible harm to EU financial interests & breach of cooperation agreement (p. 1 Question); not competent for sanctions but forwarded info to EEAS (p.2 ASW)

Relevance & Cross-Links
Framework to connect smuggling evidence (see: documents 27/5/2011) with agreements and sanctions listed above.

Actors / Entities
OLAF, EEAS, JTI, EU Commission

OFSI / EU Sanctions List Entry — General Organization of Tobacco

Key Finding48
General Organization of Tobacco sanctioned by UK (then EU) for supporting the Syrian regime.

Relevance & Cross-Links
Confirms that both buyer (GOT) and consignee (Makhlouf) were under asset freeze.
Supports post-shipment illegality; responds to 2012 investigations.

Actors / Entities
GOT, UK HMT / EU Council

Syria Report

Key Finding49
Syria Duty Free transferred from Rami to Ihab Makhlouf (+ Abdul Hamid Dashti).

Relevance & Cross-Links
Shows continuity of sanctioned ownership despite formal transfer; potential circumvention.

Actors / Entities
Ihab Makhlouf, Rami Makhlouf, Abdul Hamid Dashti

Open Sanctions

Key Finding50
Ihab Makhlouf dies.

Relevance & Cross-Links
Impacts control of Duty Free and potential asset tracing, endpoint of current ownership chain.

Actors / Entities
Makhlouf family

UK OFSI Consolidated List Update

Key Finding51
GOT removed from UK list (post-Brexit); EU sanctions still in force.

Relevance & Cross-Links
Raises open-market & compliance questions on post-sanction reintegration of the local tobacco industry

Actors / Entities
GOT, UK OFSI, EU Council

The hypothesis guiding this study is that the Syrian regime, through its control over Latakia Port and free zones, was able to effectively bypass international sanctions. This allowed regime-affiliated entities to profit from the illicit tobacco shipments, exposing the institutionalised nature of Syria’s tobacco trade. 

Key findings: 

Taken together, we have strong reasons to believe that the 2011 smuggling operation was not an isolated event but rather a reflection of how Syria’s free zone infrastructures enabled both legitimate commerce and illicit trade. This ensured that profitable activity ultimately flowed through regime-controlled channels. Latakia Port exemplifies how ports and free zones are not always neutral spaces of exchange.  

While the state and its affiliates likely profited from smuggled tobacco and rising prices, tobacco farmers faced inflation, compounded by inadequate subsidies. Meanwhile, the broader population struggled with soaring cigarette prices, highlighting the human cost of this system.  

The tobacco sector, strategically important to the Syrian economy, therefore shows how political authority shaped the material conditions of ordinary Syrians by exploiting trade infrastructure for profit, often at the expense of the general population.  

It also raises important questions moving forward: 

  1. Map, MarineTraffic. “PARPALI (Ship, IMO 9134701) — Vessel Details.” October 27, 2025.
    VesselFinder. “Sea Distance Calculator and Route Planner Limassol to Latakia.” October 27, 2025. ↩︎
  2. OCCRP, “Troubles with Big Tobacco,” 2011 ↩︎
  3. Official Journal of the EU, Council Implementing Regulation (EU) No. 504/2011, 2011. ↩︎
  4. OCCRP, “Troubles with Big Tobacco,” 2011. ↩︎
  5. Lenzu, Marco D. 2025. “Syria: EU Adopts Legal Acts to Lift Economic Sanctions on Syria, Enacting Recent Political Agreement.” Council of the European Union, May 28, 2025. ↩︎
  6. Tishreen University Journal for Research and Scientific Studies – Biological Sciences Series. “دراسة تحميمية لسياسة دعم محصول التبغ في محافظة اللاذقية.” Vol. 24, no. 5 (November 29, 2020). ↩︎
  7. The Syria Report. 2004. “Gauloises Blondes to Be Produced in Syria.” ↩︎
  8. The Syria Report. “Government’s Tobacco Procurement Prices Below Production Costs.” Report, May 9, 2023. ↩︎
  9. Graph, The Syria Report. “Chart: Syria’s Official Cigarette Imports and Tobacco Production 2005–2020.” April 8, 2025. ↩︎
  10. The Syria Report. 2022. “The Syrian Tobacco Industry.” ↩︎
  11. Graph, FocusEconomics. “Syrian Arab Republic Inflation (CPI, annual variation %, aop).” Accessed November 8, 2025. ↩︎
  12. The Syria Report. “Cigarette Sales Surged by 144% in 2021.” Report, April 5, 2022. ↩︎
  13. The Syria Report. “Cigarette Sales Surged by 144% in 2021.” Report, April 5, 2022. ↩︎
  14. PWJ, The Human Rights Impact of Illicit Trade in Syria and Iraq, 2022. ↩︎
  15. Khaddour, “Syria’s Troublesome Militias,” ↩︎
  16. The Syria Report, “Chart: Tobacco Production, Planted Area, and Yield (1998–2022),” 2023. ↩︎
  17. Louay. 2021. “The Prevalence of Smoking and the Use of Different Types of Tobacco Products Among Adult Syrians.” ↩︎
  18. Graph, The Syria Report. “Chart: Syria’s Official Cigarette Imports and Tobacco Production (2005–2020).” April 12, 2022. ↩︎
  19. The Syria Report. 2023. “Chart: Tobacco Production, Planted Area, and Yield (1998–2019).” ↩︎
  20. Enab Baladi. 2024. “Syrian Government Raises Purchase Price of Farmers’ Tobacco Crops.” ↩︎
  21. The Syria Report. 2023. “Government’s Tobacco Procurement Prices Below Production Costs.” ↩︎
  22. Enab Baladi. 2023. “Latakia: State Tobacco Employees Impose Royalties Despite Farmers Suffering.” ↩︎
  23. The Syria Report. 2023. “Government’s Tobacco Procurement Prices Below Production Costs.” ↩︎
  24. Images, Syrian Arab News Agency. “Damages left by fires at the warehouses of Tobacco General Establishment in Qardaha.” October 11, 2020. ↩︎
  25. Images, Google Earth. “Al Qardahah tobacco farm and warehouse. Before and after wildfire, Syria.” Coordinates: 35°27′53″N, 36°03′01″E. Imagery dates: August 23, 2020, and October 18, 2020. ↩︎
  26. The Syria Report. 2021. “Government Expects Tobacco Crop to Rise—But Doesn’t Account for Fire Damage.” ↩︎
  27. United States Department of the Treasury, Office of Foreign Assets Control. 2025. “Syrian Sanctions Regulations, 31 CFR Part 542 (Weapons of Mass Destruction Proliferators Sanctions).” Office of Foreign Assets Control. ↩︎
  28. The World Bank. 2025. “Syria Macro-Fiscal Assessment.” ↩︎
  29. Leffingwell, John C. 2013. “Identification of the Volatile Constituents of Cyprian Latakia Tobacco by Dynamic and Static Headspace Analyses.” ResearchGate. ↩︎
  30. Graph, The Syria Report. “Factsheet: The Syrian Tobacco Industry.” Accessed November 8, 2025. ↩︎
  31. The Syria Report. 2022. “Cigarette Sales Surged by 144% in 2021.” ↩︎
  32. The Syria Report. 2022. “Report: The Syrian Tobacco Industry.” ↩︎
  33. Maps, المؤسسة العامة للتبغ. “الإحصائيات.” Archived March 17, 2018.
    SoilGrids. “SoilGrids250m 2.0 — World Reference Base (2006) Soil Groups.” ↩︎
  34. The Syria Report. 2022. “Report: The Syrian Tobacco Industry.”  ↩︎
  35. Maps, Wikimapia. “The Syrian Free Zone, the port section.” 2011.
    Wikimapia. “The Free Zones (Latakia).” 2015. ↩︎
  36. The Syria Report. 2022. “Report: The Syrian Tobacco Industry.”  ↩︎
  37. The Syria Report. 2020. “Duty-Free Markets Transferred from Rami to Ihab Makhlouf – Reports.” ↩︎
  38. The Syria Report. 2023. “Explained: Free Zones in Syria.” ↩︎
  39. Enab Baladi. 2025. “Ports Authority Launches New Investment Opportunities in Free Zones.” ↩︎
  40. Reuters. “Assad’s Final Hours in Syria: Deception, Despair and Flight.” December 13, 2024. ↩︎
  41. European Commission / European Community. Mutual Cessation Agreement between the European Community, certain Member States [and] JTI International S.A. and JTI International Holding B.V. 14 Dec. 2007. ↩︎
  42. Official Journal of the EU, Council Implementing Regulation (EU) No. 504/2011, 2011. ↩︎
  43. OCCRP, Bill of Lading for Combined Transport, 2011.  ↩︎
  44. Council of the European Union (2011), Council Regulation No 442/2011.   ↩︎
  45. Council of the European Union (2011), Council Implementing Decision 2012/256/CFSP.  ↩︎
  46. JTI Trading S.A., Proforma Invoice No. 9000195231, 2011. ↩︎
  47. European Parliament (2012), OLAF Investigation of Japanese Tobacco Inc — Smuggling Accusations. ↩︎
  48. European Parliament (2013), Answer by Mr Šemeta on behalf of the Commission. ↩︎
  49. Office of Financial Sanctions Implementation (2025), Financial Sanctions Notice:Syria.  ↩︎
  50. The Syria Report, “Duty-Free Markets Transferred from Rami to Ihab Makhlouf,” 2020. ↩︎
  51. Makhlouf (2023), Ihab Makhlouf – OpenSanctions. Ihab Makhlouf – OpenSanctions  ↩︎